1. LON-CAPA Logo
  2. Help
  3. Log In
 


Glucanes Containing beta - glycosidic Linkages


Cellulose: No branchings occur in cellulose, a linear molecule. Neighbouring cellulose chains may form hydrogen bonds leading to the formation of microfibrils with partially crystalline parts (micelles). Cellulose is the most important structural component of nearly all green plants' cell walls.

© Thomas A. NEWTON



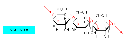
Callose: In callose, the glucose units are linked via 1,3 glycosidic linkages. This type of bond causes the polymer to arrange in a helix. The helix binds aniline blue, the resulting complex leads to yellow fluorescence. Callose contains also 1 > 4 and 1 > 6 linkages.

Chitin is a polymer that consists of glucose derivatives: N-acetyl glucosamine units connected by 1 > 4 linkages. It is only exceptionally found in plants, like in some algae (see theme 44) but it is the main structural component of the cell walls of most fungi.


© Peter v. Sengbusch - b-online@botanik.uni-hamburg.de